文库网
首页 > 小知识

对分析动力学的一些理解(3)

2023-04-08 来源:文库网
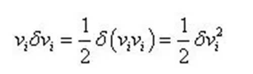
上式中

对分析动力学的一些理解


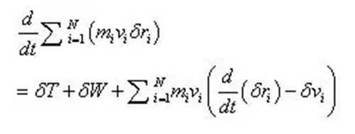
将上述变化代入动力学普遍方程得到:

对分析动力学的一些理解


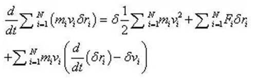
上式中,等式右端第一项是动能的变分δT,第二项是主动力的虚功δW,因此,可表示为下面的普遍的中心方程:

对分析动力学的一些理解


猜你喜欢