对分析动力学的一些理解(2)
2023-04-08 来源:文库网
接着要引入理想约束的假设,这是分析力学的基本假设,理想约束是指约束反力在虚位移上做功的和为零:
注意,是只要求功的和(或净功net virtual work)为零,而不用要求对每个质点受到的约束反力与虚位移方向垂直。关于这点可看参考文献[2]。
正是因为有理想约束的假设,我们要在方程中消去未知约束反力,可以从做功的角度出发。要注意的是,在有摩擦存在时,摩擦力做功肯定不等于零,这时可以把摩擦力放在主动力Fi 中。
由上两式可得到DAlembert-Lagrange方程,又叫动力学普遍方程:
上面是适用于动力学的DAlemberts principle,当ai=0时,变为适用于静力学的principle of virtual work。
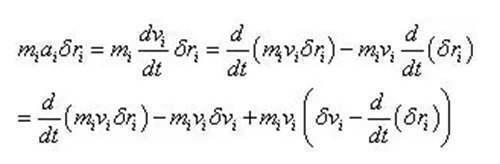
动力学普遍方程只用到理想约束的假设,所以既适用于完整约束也适用于非完整约束;既适用于定常约束,也适用于非定常约束。将上式用另一种形式表达,得到普遍的中心方程。作如下变化:

注意,是只要求功的和(或净功net virtual work)为零,而不用要求对每个质点受到的约束反力与虚位移方向垂直。关于这点可看参考文献[2]。
正是因为有理想约束的假设,我们要在方程中消去未知约束反力,可以从做功的角度出发。要注意的是,在有摩擦存在时,摩擦力做功肯定不等于零,这时可以把摩擦力放在主动力Fi 中。
由上两式可得到DAlembert-Lagrange方程,又叫动力学普遍方程:

上面是适用于动力学的DAlemberts principle,当ai=0时,变为适用于静力学的principle of virtual work。
动力学普遍方程只用到理想约束的假设,所以既适用于完整约束也适用于非完整约束;既适用于定常约束,也适用于非定常约束。将上式用另一种形式表达,得到普遍的中心方程。作如下变化:
