英雄联盟军械库S11新版羊刀与无尽收益对比(2)
2023-04-08 来源:文库网
二、分析
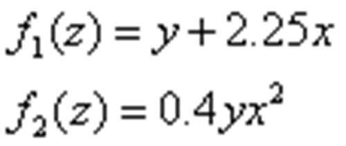
经过换算下来可以得到羊刀每1%暴击提供2.25魔法伤害;无尽每1暴击几率提供0.4%暴击伤害。
那么如果在纯普攻条件下,将人物的最终伤害设为Z,人物攻击力为y,暴击几率为x,羊刀函数为f1,无尽函数为f2那么二者的攻击收益计算方法为:
作出图像可以得到
可以看出羊刀的成长曲线十分平滑,攻击力和暴击带给羊刀被动的收益都成正比。而无尽的收益曲线明显可以看出受到边际效应的影响:在暴击率低的情况下,需要比羊刀高出许多的攻击力才可以得到与羊刀相同的收益。在攻击力低的情况下也需要十分高的暴击率才可以得到与羊刀相同的收益。
我们可以从二者的三次函数中计算二者交线得到交线的函数图像在xy轴上的投影:
可以看出这是一个在x∈上单调递减的函数。那么可以推断出在人物攻击力大约小于5或者人物暴击率接近于0时,羊刀的暴击收益大于无尽。
经过换算下来可以得到羊刀每1%暴击提供2.25魔法伤害;无尽每1暴击几率提供0.4%暴击伤害。
那么如果在纯普攻条件下,将人物的最终伤害设为Z,人物攻击力为y,暴击几率为x,羊刀函数为f1,无尽函数为f2那么二者的攻击收益计算方法为:

作出图像可以得到
可以看出羊刀的成长曲线十分平滑,攻击力和暴击带给羊刀被动的收益都成正比。而无尽的收益曲线明显可以看出受到边际效应的影响:在暴击率低的情况下,需要比羊刀高出许多的攻击力才可以得到与羊刀相同的收益。在攻击力低的情况下也需要十分高的暴击率才可以得到与羊刀相同的收益。
我们可以从二者的三次函数中计算二者交线得到交线的函数图像在xy轴上的投影:

可以看出这是一个在x∈上单调递减的函数。那么可以推断出在人物攻击力大约小于5或者人物暴击率接近于0时,羊刀的暴击收益大于无尽。
