文库网
首页 > 杂谈趣闻

梅涅劳斯定理的三种证明方法(2)

2023-04-08 来源:文库网
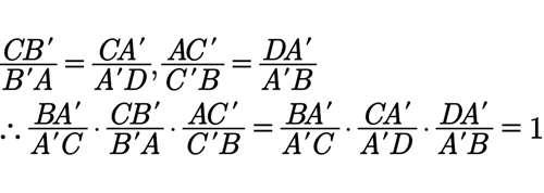
由平行线分线段成比例的性质可知

梅涅劳斯定理的三种证明方法


证法二(正弦定理证法):
如下图,设∠BCA=α,∠CBA=β,∠BAB=γ

梅涅劳斯定理的三种证明方法


在△ BAC中,BA/CB=sin α/sin γ
同理,CB/CA=sin γ/sin β,
AC/AB=sin β/sin α
∴此三式相乘即证
证法三(面积证法):
如下图,连接CC、AA

梅涅劳斯定理的三种证明方法


猜你喜欢