文库网
搜索
情感
爆料
小短文
杂谈
小知识
首页
>
杂谈趣闻
Neuuuuu 一位up主(2)
2023-04-08 来源:文库网
我个人最喜欢的一首歌
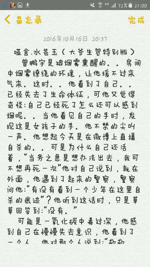
在他的贴吧里,我看到有楼主发他的一些和朋友对话,解答问题的截图
先贴一张
也有人写他的同人文
范冰冰主演《苹果》剧照
超模AliMichael演绎的浪漫晚礼服时尚大片
猜你喜欢
嫔妃和公主哪个地位高,公主地位高一些(主要还得看辈分)
2023-02-22
清朝最后一位公主荣寿公主,长相丑陋(17岁就守寡)
2023-02-23
唐朝历代国君一览表,前后一共21位帝王(附庙号/在位时间/关系)
2023-02-22
怎样定位另一个手机的实时位置 输入手机号怎么查定位
2023-04-08
宋朝历代国君一览表,南北宋一共18位皇帝(宋仁宗在位时间最长)
2023-02-22
秦始皇统一六国后维持了多久,仅15年(最后一位皇帝在位才46天)
2023-02-22
美国民主党获众议院多数席位
2023-04-08
盘点 位迪士尼公主 哪个是你的最爱
2023-04-08
主角是天道或星球位面意志的小说 (主角是天道或星球位面意志的小说)
2023-04-08