欧拉恒等式的另一种解释(5)
2023-04-08 来源:文库网
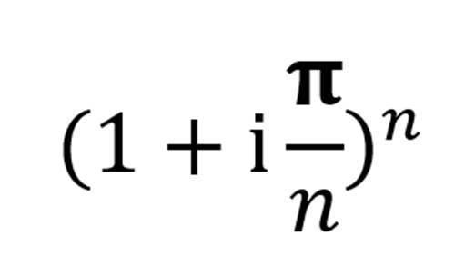
这个式子就是(1 iπ/n)自乘n次,按照上面的复数乘法的几何意义,就是这样的n个
三角形(图上A为坐标原点,AB为Re 轴),当n趋向于无穷,最后一个三角形的顶点所表示的复数就是这个式子的结果,那我们来看看n越来越大时结果如何
【视频】
如视频可见,n越来越大时,最后的端点越来越趋向于-1表示的点。
等等,这是为什么呢?
4.解释
当n逐渐增大时,第一个三角形最外面的顶点越来越接近圆弧,最外的弧线越来越趋近于圆弧,三角形也越来越接近于一个等腰三角形(学过微元法的人应该好理解些),但是为什么正好是-1表示的点呢?再看一遍这个式子
π可知每个三角形中A所对应的边长度越来越趋近于π/n,所以n趋向于无穷时,最外面的所有n个边长和为π/n·n=π,而在圆上半圆的长度正好就是π了,这样就证明了 e^(πi) 1=0。
6.总结
这个证明其实吧说实话并不是特别严谨,但是提供了一个新的角度看待这个问题,希望大家喜欢。

三角形(图上A为坐标原点,AB为Re 轴),当n趋向于无穷,最后一个三角形的顶点所表示的复数就是这个式子的结果,那我们来看看n越来越大时结果如何
【视频】
如视频可见,n越来越大时,最后的端点越来越趋向于-1表示的点。
等等,这是为什么呢?
4.解释
当n逐渐增大时,第一个三角形最外面的顶点越来越接近圆弧,最外的弧线越来越趋近于圆弧,三角形也越来越接近于一个等腰三角形(学过微元法的人应该好理解些),但是为什么正好是-1表示的点呢?再看一遍这个式子

π可知每个三角形中A所对应的边长度越来越趋近于π/n,所以n趋向于无穷时,最外面的所有n个边长和为π/n·n=π,而在圆上半圆的长度正好就是π了,这样就证明了 e^(πi) 1=0。
6.总结
这个证明其实吧说实话并不是特别严谨,但是提供了一个新的角度看待这个问题,希望大家喜欢。