Fluent湍流参数设置
Fluent湍流参数设置
本文核心词:流体力学,FLUENT,管道流动,湍流参数在Fluent边界条件设置中,流场的入口、出口和远场边界上,用户需要定义流场的湍流参数。在大多数情况下,湍流是在入口后面一段距离经过转捩形成的。如果不知道湍流参量的分布规律时,可以在边界上采用均匀湍流条件简化模型的设置。在设置边界条件时,首先应该定性地对流动进行分析,以便边界条件的设置不违背物理规律。违背物理规律的参数设置往往导致错误的计算结果,甚至使计算发散。
一、相关计算公式
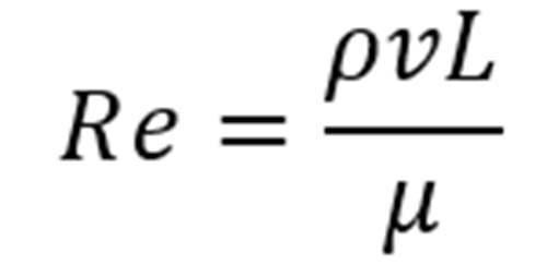
已知流体的密度ρ,流速ν,动力粘度μ,以及特征长度L,则:
1.雷诺数(Reynolds number):

雷诺数计算公式
2.湍流强度(Turbulent Intensity):

湍流强度计算公式
3.湍流动能(Turbulent Kinetic Energy):
